728x90
금화모으기


둘 중에 큰 값을 골라서 (i,j)의 코인을 더한다.



8원을 거슬려주는 방법 중 1원 동전을 한개 쓰는 방법은
8-1=7원을 거슬러주는 방법




연속으로 일할 수 없다.

critical idea : 끝나는 순서를 보면된다.
1
2
3: 15만원이 최대
4: 20이 최대
5: 30이 최대
6: 30 (T9를 가져가게되면 T5를 가져가게 되고 27만원보다 전날까지 일한 것이 더 비쌈)
7. 15+25=40
8. 8번째 끝나는 일이없음
9. (20+27)=47 (T3을 가져오면 42)
10. 49


선택하지않으면 전날까지 받은 돈과 같음
p(j) = 마지막 작업과 안겹치는 작업 중 마지막 작업 (☆)

끝나는 날짜로 sorting이 되어있기 때문에 시작날짜를 넣어 binary search

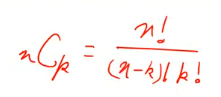
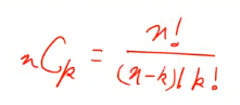
n개 중 k개 고르기


모든 집합을 두 집합으로 나눈다,
-> 1을 포함 -> n-1개에서 k-1개 고르기
- >1을 미포함 -> n-1개에서 k개 고르기

n개중에 k개고르기


계산을 통해서도 알 수 있지만 2가지 경우로 나누어 알 수 있다는 것!
(겹치지않는 식에 대해서 더하기하는 것임)
'알고리즘' 카테고리의 다른 글
| 알고리즘19 그래프 알고리즘 (0) | 2020.11.06 |
|---|---|
| 알고리즘18-2 완전 정보 게임 (0) | 2020.11.02 |
| 알고리즘17-2 최장 공통 부분 서열(LCS) (0) | 2020.10.29 |
| 알고리즘17 근사문자열매칭과 거리함수 (0) | 2020.10.29 |
| 알고리즘 16-2 (0) | 2020.10.25 |